18700599115(方经理)
液相质朴联用仪

LCMS-8050 超快速液相质谱联用仪

简要描述:UF scanning 高灵敏度高速扫描 30,000 u/sec同时实施定量与定性12种药物毒物成分的快速同时筛查LCMS-8050可在单次分析中同时获得的定

基础信息

产品型号

厂商性质

发布时间

2026-03-13

浏览次数

详细介绍
LCMS-8050 超快速液相质谱联用仪(图1)
LCMS-8050 超快速液相质谱联用仪(图2)

UF scanning 高灵敏度×高速扫描 30,000 u/sec

同时实施定量与定性
12种药物毒物成分的快速同时筛查

LCMS-8050可在单次分析中同时获得的定量和定性信息。
在保证定量准确性的同时,可进行MS/MS扫描和MRM定量。
岛津采用0.1u的步频,使得即便在30,000u/sec的速度下也
可获得稳定可靠的MS/MS扫描。

LCMS-8050 超快速液相质谱联用仪(图3)

UF switching 高灵敏度×高速正负极切换 5msec

一个分析仅耗时1分钟
基于高速正负极切换的CYP抑制试验

实施正负离子同时测定时,极性切换所需时间对于定量精度有较大的影响。LCMS-8050的极性切换时间仅需5msec。即使UHPLC仅数秒的细峰也可确保充分的数据点。UHPLC与LCMS-8050的组合进一步提升了高灵敏度分析通量。

LCMS-8050 超快速液相质谱联用仪(图4)

UF-MRM 高灵敏度×高速MRM 555ch/sec

检测痕迹量浓度的目标化合物
29种水质农药成分同时分析

在保证数据准确和精度的同时,LCMS-8050可进行555ch/sec 的高速MRM。,即便在色谱上未完全分离的峰,也可对定量离子、参比离子、内标离子进行足够的采集。高灵敏度的LCMS-8050使其可进行诸如饮用水中 农残的痕量分析,而不需浓缩样品。即便在多通道MRM监控时,高灵敏分析也可进行。

LCMS-8050 超快速液相质谱联用仪(图5)

LCMS-8050 超快速液相质谱联用仪(图6)




对于有痕量定量需要的科学家可从全新设计的加热ESI源和UFsweeper III的高效率CID。





UFsensitivity TM

用于痕量分析的高灵敏度

LCMS-8050 超快速液相质谱联用仪(图7)

LCMS-8050 超快速液相质谱联用仪(图8)



LCMS-8050 超快速液相质谱联用仪(图9)
超高速的正负离子切换技术[UF switching]可以在没有质量损失的情况下,保持质量和灵敏度。实验室可以在单次分析进行正负离子切换,从而提高通量节约方法时间。
 

UFswitching TM


无损品质和灵敏度的极性切换技术

■ 高灵敏度及5 msec快速极性切换速度
仅需一分钟的分析
使用快速极性切换的实验实例

当使用正负极离子同时分析多种化合物,依靠快速极性切换技术可以获取高压液相的尖锐峰。LCMS-8050依靠极性切换使离子损失降到更低,确保在高压液相的尖锐峰时也可获得足够的数据点,准确记录峰数据并保证很好的重现性。

LCMS-8050 超快速液相质谱联用仪(图10)

■ Only 5 msec to Achieve Stable Quantitative Accuracy with Positive/Negative Ionization Switching

LCMS-8050 超快速液相质谱联用仪(图11)

正负极性切换时间仅为5ms,同时保证定量准确度稳定
LCMS-8050采用不断改进的高压电源,实现仅 5 msec的高速正负极性切换。并且,即使如 此高速地进行正负极性切换也不会造成离子强度降低,随时获得稳定的数据,这只用LCMS-8050 做到了。在多个仅有2-3秒的UHPLC色谱峰同时 洗脱的时候,依然获得出色的定量效果。

■ 提升总通量与定量精度

LCMS-8050 超快速液相质谱联用仪(图12)

LCMS-8050 超快速液相质谱联用仪(图13)




采用超高速扫描技术[UF scanning],LCMS-8050可在任何扫描速度下保证色谱质量。可在30000u/s扫描时,同时进行定性和定量分析。



 

UFscanning TM

Simultaneous, Highly Reliable Quantitative and Qualitative Analysis

■ 高灵敏度 ×  30,000 u/sec的高速扫描

同时实施定量与定性
12种药物毒物成分的快速同时筛查

LCMS-8050可在单次分析中同时获得的定量和定性信息。在保证定量准确性的同时,可进行MS/MS扫描和MRM定量。岛津采用0.1u的步频,使得即便在30,000u/sec的速度下也可获得稳定可靠的MS/MS扫描。

LCMS-8050 超快速液相质谱联用仪(图14)

■ 30,000 u/sec的速度下也做到了灵敏度降低和质量误差的微小化

根据扫描速度与m/z,控制四极杆负载电压,保证在扫描速度下都实现高离子透射率,并以0.1u的间距采集谱图数据,随时获取高品质的质谱图。即使在30,000u/sec的高速扫描时,LCMS-8050也将灵敏度降低和质量误差减小到更低限度。

LCMS-8050 超快速液相质谱联用仪(图15)

■ 同步检查扫描(Synchronized Survey Scan)实施高效率的定性分析

利用Synchronized Survey Scan(SSS)功能,可以结合MRM与多种扫描模式,在多组分同时筛查分析等应用中,除定量结果外,还想了解检测成分更为详细的定性信息时,是显著有效的功能。

一个方法可以保存1000个事件,可针对每个化合物 设定更佳碰撞能。因此,可以仅获得需要的定性信息, 效率很高。

LCMS-8050 超快速液相质谱联用仪(图16)
 

LCMS-8050 超快速液相质谱联用仪(图17)




UF sweeper III高速离子传输技术,即便驻留时间为0.8msec,也能使离子损失最小化。高达555ch/s的MRM转换速度加速实验室高通量的同时测定多种化合物


 

UF-MRM

高灵敏度×高速MRM 555ch/sec

检测痕迹量浓度的目标化合物
29种水质农药成分同时分析

在保证数据准确和精度的同时,LCMS-8050可进行555ch/sec 的高速MRM。,即便在色谱上未完全分离的峰,也可对定量离子、参比离子、内标离子进行足够的采集。高灵敏度的LCMS-8050使其可进行诸如饮用水中农残的痕量分析,而不需浓缩样品。即便在多通道MRM监控时,高灵敏分析也可进行。

LCMS-8050 超快速液相质谱联用仪(图18)
 

UF Technologies Combine Sensitivity and High Speed

LCMS-8050通过下列技术确保灵敏度和高速度。
[UFsensitivity®]通过全新的加热ESI源和UFsweeper® III碰撞室来实现高灵敏度。
[UFswitching®] 快速的正负离子切换和高速度MRM来保证数据质量和灵敏度。
[UFscanning®]即便在高速分析时,快速扫描可获得高质量的质谱图。

LCMS-8050 超快速液相质谱联用仪(图19)

 

Engineered for Robustness and Easy Operation/Maintenance

■ 即使在严酷的连续分析中也可保持高灵敏度

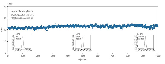
LCMS-8050的设计不但重视速度和高灵敏度,还重视仪器的耐用性来满足实验室要求和各种复杂基质。 添加阿普唑仑的血浆样品除蛋白后,进行1000次连续分析,面积曲线如下。1000次分析数据获得4.59%(%RSD)的出色面积重现性。

LCMS-8050 超快速液相质谱联用仪(图20)

■ 良好的维护性 缩短停机时间

继承已有机型【简便维护】的特点。可快速简便地更换用于向真空部导入样品的DL(去溶剂单元)、ESI毛细管。可以在真空状态下直接更换DL,最大限度地减少了分析停机时间。

LCMS-8050 超快速液相质谱联用仪(图21)

■ 简练设计的离子化单元

新设计的离子化单元采用无电缆、无管路的结构,更换步骤非常简单。拆卸时,解除单触杆后打开单元取出即可。更换为其他离子化单元的作业也非常轻松。无需工具即可下安装在APCI与DUIS上的喷雾针,维护十分简便。

LCMS-8050 超快速液相质谱联用仪(图22)

 

LabSolutions LCMS Ver.5.6

LCMS-8050 超快速液相质谱联用仪(图23)

LabSolution LCMS是将LC与MS整合 在一个用户界面的整合型工作站软件。具 备丰富的支持多组分定量方法制作的便利 功能,无论谁都轻松地进行可靠的定量分析。

■ 驻留时间自动计算

根据重叠的MRM通道数和最大的循环时间,自动计算最优的驻留时间,在分析整个过程中确保必要的数据点。

■ MRM最优化功能

LCMS-8050 超快速液相质谱联用仪(图24)

通过流动注射分析,连续实施MRM条件最优化。发挥LCMS-8050的高速性能,提供快速且可靠的最优化结果。

■ 高效的多组分 多样品数据解析

LCMS-8050 超快速液相质谱联用仪(图25)

LabSolution LCMS除再解析程序之外。还标配了最适于在同一画面上进行多数据比较的【数据浏览器】以及可同时进行多样品解析处理的【定量浏览器】。快捷的解析处理与可视化数据显示,最大程度地支持多样品定量的高效化。

丰富多彩的选配软件

岛津根据用户的使用目的准备了各种选配软件。
与LabSolution LCMS Ver.5.5组合使用,大幅提升分析工作的效率。

■ 各种方法包

LCMS-8050 超快速液相质谱联用仪(图26)

为方便用户实施高效的多组分同时分析而准备了多种方法包。无需进行分离条件摸索、各化合物的MS参数最优化等繁琐的工作,便可开始分析。
备注:有时需要对一部分LCMS-8050用分析参数进行最优化。

■ QuanSolution

三重四极杆LC/MS/MS定量用开放访问软件

按照画面指示轻松操作,自动完成从分析开始到分析结果报告输出的工作,减轻日常分析工作的负担。

LCMS-8050 超快速液相质谱联用仪(图27)

■ ProfilingSolution

轮廓曲线解析软件
对来自色谱图的庞大信息进行解析的软件。从多个数据文件中提取所有峰后归纳表中,制作多变量解析所需的峰表。

LCMS-8050 超快速液相质谱联用仪(图28)

丰富多样的前端装置方案

岛津HPLC具有卓越的扩展性,灵活应对多样的需求。

岛津公司根据用户的工作流程、分析内容,提供最为适合的前端装置方案。

■ 全面的方法开发系统
      Nexera Method Scouting

LCMS-8050 超快速液相质谱联用仪(图29)

使用专用控制软件 Method Scouting Solution与高耐压、长寿命的柱切换系统,自动切换流动相与色谱柱,实现迅速、可靠的方法探索。

使用4种流动相(水系)、4种流动相(有机溶剂),6种色谱柱,最多可能够以96种组合,探讨分析方法。

Co-Sense 系列

■ 高效的生物样品分析系统
       Co-Sense for BA

LCMS-8050 超快速液相质谱联用仪(图30)

在线稀释捕集实现可靠的捕集浓缩,高灵敏度分析
高浓度蛋白质样品中的微量杂质。
Shim-pack MAYI 系列色谱柱实现高效的除蛋白与小分子捕集。

■ 痕量杂质超高灵敏度定量系统
       Co-Sense for Impurities

LCMS-8050 超快速液相质谱联用仪(图31)

可全面应用磷酸缓冲液,离子对试剂等各种HPLC分离条件。
针对诸如造成LC-MS分析中离子化抑制问题的、与高浓度的
主成分充分分离的痕量杂质,在捕集浓缩后进行2维分离,从而实现可靠地定量。




 

选配的开放式软件

开放式的三重四极杆质谱样品设置
随着样品设置的愈加简单,Quan Solution使得那些不熟悉LCMS软件的人也可通过一些预设置来操作LC/MS/MS。屏幕操作的简化使得操作三重四极杆质谱不需要大量的培训。

通过电子邮件接收分析结果
分析完成后,软件将发送一封电子邮件。电子邮件中将包含一个含有定量结果报告的PDF文件,使用户可在办公室中查看结果。

便捷的多用户和多方法的访问
具有6个板位的SIL-30ACMP自动进样器是使用单一液质系统进行复杂分析的理想选择。不需要麻烦的用户管理共享系统,只需注册的用户名和电子邮件地址即可实现。此外,通过柱切换或流动相切换与Nexerad Quaternary连接,即可实现更多种的定量。

LCMS-8050 超快速液相质谱联用仪(图32)

LCMS-8050 超快速液相质谱联用仪(图33)

LCMS-8050 超快速液相质谱联用仪(图34)

系统使用情况一目了然

可在样品设置窗口查看供分析的样品序列。

LCMS-8050 超快速液相质谱联用仪(图35)

编辑样品序列

一般来说,样品是按照排列的顺序来运行的, 但作为管理员可对其进行更改。这使得系统 分配变得很容易,白天进行少量样品测定,夜晚进行大量样品测定。

LC / MS / MS相结合的方法包

每个方法包包括方法文件列表MS分析参数,液相色谱分离条件,每种化合物的保留时间信息以及报告文件。方法包可显着缩短开发时间。

LCMS-8050 超快速液相质谱联用仪(图36)

LCMS-8050 超快速液相质谱联用仪(图37)
 

轮廓曲线解析软件与多变量解析软件相结合,对LC/MS和GC/M获得的数据,进行差异性处理
* :仅限于 LCMS-8050, LCMS-8040, LCMS-8030, LCMS-2020, LCMS-IT-TOF, GCMS-QP2010 Ultra

从大量数据文件中自动提取和显示色谱峰

仅需选择数据文件,点击运行按钮,即可采集峰,并列出每个峰的m/z值、保留时间和峰强度。此表可进行数据的多因素分析。

主要峰列表

可进行多种计算,诸如过滤和正常化,使其能够进行多变量分析的数据预处理。可根据峰的漂移对保留时间进行校正。

LCMS-8050 超快速液相质谱联用仪(图38)

简单的峰确认

色谱和质谱的每个数据文件均可在列表中显示。

LCMS-8050 超快速液相质谱联用仪(图39)

 

液质源参数设置软件

LCMS-8050/8040/8030选配软件

本软件可自动创建批处理文件来运行分析并获得液质源的加热块温度和气体流速改变时的数据。通过数据比较,可以确定目标化合物灵敏度较高时的加热块温度和气体流速。

高灵敏度的分析结果通过:确定液相分离条件、优化MRM参数、最后确定源参数来实现。本软件通过简化用户源参数设置来支持液质方法的开发,避免了过去方法创立和设置的复杂。

■ 工作流程

LCMS-8050 超快速液相质谱联用仪(图40)

LCMS-8050 超快速液相质谱联用仪(图41)

■ 特色

  • 在LCMS-8050中,软件控制三个加热块温度参数和三个气体流速,在LCMS-8040和LCMS-8030中,软件控制二个加热块温度参数和二个气体流速。

  • 软件自动创建用于连续分析的批处理文件,其中参数的改变得到的数据是在特定范围内不同参数的组合。*备注

  • 可在分析过程中加入空白分析来保证数据的稳定性。

  • 为了后续分析使用,方法包含的优化的组合参数可以方便的从数据浏览器导出。

   备注:特定参数的所有的组合 (最大为1000)都进行了预调试。批分析所需时间的长短依据设置参数的不同而不同。
 

从HPLC到LCMS

LCMS-8050 超快速液相质谱联用仪(图42)

DUIS-8050是LCMS-8050的一个可选双离子源,双离子源可同时进行两种离子化(ESI和APCI),可同时对适合多种离子化方法的样品进行分析。

这样,可以同时分析更大范围的化合物来提高实验室的效率。DUIS离子化方式对合成化合物、化学反应副产物或其它未知物质的确认十分有效。对于那些同时分析极性和非极性物质的药物开发小组或者其它实验室十分有用。

(LCMSsolution 第5版或更新版本)

双离子源的原理与结构

双离子源同时通过两种方法离子化样品——电喷雾电离(ESI )适用于高极性化合物,而APCI电离(APCI)适用于低到中等极性化合物。因此,它能够离子化的化合物范围很广,包括从低到高极性的各种化合物。

通过到双离子源的样品先被电喷雾电离( ESI )离子化,同时又经由ESI下方的电晕放电针进行APCI离子化。这对于希望在一次分析中同时分析ESI和APCI适合的化合物十分有用。因为无论ESI还是APCI电压都是连续进行的,不需要进行离子化方式切换。即使在使用超快速液相色谱分析的窄峰时,DUIS仍可进行高可靠和可重现性的分析,而不会丢失数据。

DUIS -8050双离子源结构简单,易于维护。DUIS-8050电压可以使用LCMSsolution软件独立控制。

可同时进行ESI, APCI,正离子与负离子分析

在一次分析中同时进行各种化合物分析,分析效率显著提高。

下面是一个使用双离子源分析的例子。对于核黄素(riboflavin),ESI可以获得的很好的加质子峰,而APCI则相应较弱;对于硫胺素(thiamin),ESI可以获得的很好的响应,而APCI则没有信号。相反,对于钙化醇(calciferol),APCI可以获得很好的加质子峰而ESI不能离子化。当使用DUIS-8050检测时,这三种都具有良好的灵敏度。除了离子化范围方面有明显的优势,DUIS-8050还可获得高质量的质谱图,如下所示。

LCMS-8050 超快速液相质谱联用仪(图43)

采用DUIS-8050获取的质量色谱图

LCMS-8050 超快速液相质谱联用仪(图44)

采用DUIS-8050获取的质谱图

双离子源是一种可以同时确定弱极性到强极性范围内合成化合物分子量的理想手段。在同级别离子源中,它是所有商业化产品灵敏度相对较高的。但是,对于某些样品来说了,DUIS源的灵敏度会比LCMS-8050标准的ESI或APCI源低,所以对于高灵敏度分析来说,最好选择单一的ESI或APCI源。


在线留言

留言框

  • 产品名称:

  • 您的单位:

  • 您的姓名:

  • 联系电话:

  • 常用邮箱:

  • 省份:

  • 详细地址:

  • 留言内容:

  • 验证码:

    看不清?点击更换
  • 企业名称:

    西安捷森科学发展有限公司

  • 热线电话:

    029-81129301、029-81129311

  • 公司地址:

    西安市锦业一路10号中投国际B座22层

  • 电子邮箱:

    s-future@s-future.net

扫码关注我们

Copyright © 2010-2026 西安捷森科学发展有限公司 版权所有  陕ICP备16006653号-1  技术支持:中企网络科技  sitemap.xml

TEL:18700599115(方经理)